• 1. Понятие химического равновесия. Закон действующих масс
  • 2. Уравнение изотермы химической реакции
  • 3. Уравнения изохоры, изобары химической реакции
  • 4. Расчет KP (метод Темкина-Шварцмана)
  • 5. Расчет равновесного состава химического равновесия
  • ЛЕКЦИЯ № 5. Химическое равновесие

    1. Понятие химического равновесия. Закон действующих масс

    При протекании химической реакции через некоторое время устанавливается химическое равновесие. Существует два признака химического равновесия: кинетический, термодинамический. В кинетическом – ?пр = ?обр, в термодинамическом – характеризует химическую реакцию при условиях P, t – const (?G = 0); при условиях V, Т – const (?F = 0).

    Химический потенциал – функция, которая характеризует состояние i-го компонента при определенных внешних условиях.

    где n1число молей i-го компонента.

    Если к бесконечно большому количеству раствора прибавить определенное количество какого-нибудь компонента, то химический потенциал системы определяется изменением изобарного потенциала при изобарных условиях или изменением изохорного потенциала при изохорных условиях.

    Химический потенциал зависит от концентрации данного компонента

    ?i = ?0 + RTLnPi(для идеального газа),

    где Рi– парциальное давление – вклад каждого компонента в общее давление или давление, которое компонент имел бы, если бы находился в смеси.

    Парциальное давление – элементарная функция (можно складывать). Пример (O2, N2, H2) – их общее давление

    ?i= ?0+ RTLnCi(для раствора),

    ?0значение химического потенциала при стандартных условиях.

    Химический потенциал характеризует способность данного компонента выходить из данной фазы путем испарения, растворения, кристаллизации и т. д. Переход этот происходит произвольно.

    В результате химического равновесия скорость прямой реакции уменьшается, а скорость обратной реакции увеличивается.

    Концентрации, которые соответствуют химическому равновесию, называются равновесными концентрациями. Связь между равновесными концентрациями устанавливается законом действующих масс (ЗДМ). Этот закон в 1867 г. вывели К. М. Гульберг и П. Вааге.

    Кинетический вывод ЗДМ




    f – фугитивность – парциальное давление для реальных газов. Возникает вопрос, будут ли равняться Кpи Кс.

    Кpи Кcотличаются на RT ?vi в сумме стехиометрических коэффициентов.

    Связь между Кpи Кс

    если ?vi = 0, то Kp = Kc. ?vi = 1 + 1 – 1 – 1 =0 – когда стехиометрический коэффициент = 1.

    2. Уравнение изотермы химической реакции

    Если реакция протекает обратимо, то ?G= 0.

    Если реакция протекает необратимо, то ?G? 0 и можно рассчитать изменение ?G.

    где ? – пробег реакции – величина, которая показывает, сколько молей изменилось в ходе реакции. I сп – характеризует равновесное и неравновесное состояние реакции, II сп – характеризует только неравновесные состояния.

    Если

    д? = 1,

    то

    это уравнение изотермы химической реакции.

    С помощью уравнения изотермы химической реакции можно судить о направлении протекания реакции.

    1) Пp< Кp, ?G < 0, слева направо;

    2) Пp> Кp, ?G > 0, справа налево;

    3) Пp= Кp, ?G = 0, химическое равновесие.

    3. Уравнения изохоры, изобары химической реакции

    Зависимость К от температуры



    Уравнение изобары:

    Уравнение изохоры:

    По ним судят о направлении протекания реакции:


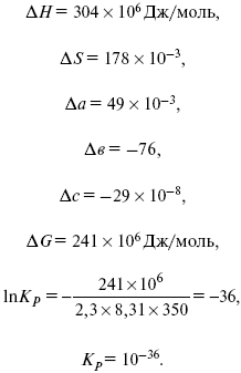
    4. Расчет KP (метод Темкина-Шварцмана)

    1-й способ:


    термодинамический метод расчета Kp.

    2-й способ:


    Пример. Расчет Kp для реакции PbS04 распадается на РbО и S03.

    Результаты вычислений занесены в таблицу 2.


    Таблица 2

    Результаты вычислений



    5. Расчет равновесного состава химического равновесия

    Равновесный состав можно рассчитать только для газовой системы

    равновесная концентрация.

    Исходная концентрация всех компонентов

    Изменение каждого компонента по числу молей (или стехиометрическому коэффициенту):

    ??– (пробег реакции) – химическая переменная.

    Она показывает изменение количества вещества по числу молей. Если реакция не началась, то ?? = 0. Если количество исходных веществ превратилось в такое же количество продуктов реакции, то ?? = 1.

    3H2 + N2 = 2NH3; ??= 1,

    1,5H2 + 0,5N2 = NH3; ??= 0,5,

    v1 А 1 + v2А2 = v3А3+ v4А4, – газовая реакция.

    Рассчитать равновесный состав по третьему компоненту при условии, что А = а моль/л; В = в моль/л.

    Рассчитываем по 4 компоненту:

    Задача.

    Газообразные вещества реагируют по уравнению:

    Общее давление в газовой смеси – Робщ, общий объем – Vоб . Рассчитать KP и Kс.

    Найти парциальное давление каждого компонента.

    Вещества А и В превращаются в С в количестве Х. Исходные вещества А= 2 моль, В= 1 моль.

    Для того, чтобы найти парциальное давление, мы должны Роб умножить на мольную долю. Мольная доля определяется отношением числа молей каждого компонента, отнесенного к общему числу молей всех компонентов.

    где En – общее число молей, участвующих в этой газовой смеси.

    где NAмольная доля А.

    где РАпарциальное давление.

    Расчет Kc:

    ?v= l – 0,5 – 2 = – 1,5,

    где ?v– изменение количества молей.











    Главная | В избранное | Наш E-MAIL | Добавить материал | Нашёл ошибку | Вверх